核心观点
企业贷款有望持续增长。2023年1月10日,央行、银保监会联合召开主要银行信贷工作座谈会,要求央行、银保监会、各主要银行要保持对实体经济的信贷支持力度,做好对基建投资、小微企业、制造业、绿色发展等重点领域的金融服务,同时随着经济好转,银行对公信贷投放有望快速增长,贷款结构或将持续优化。
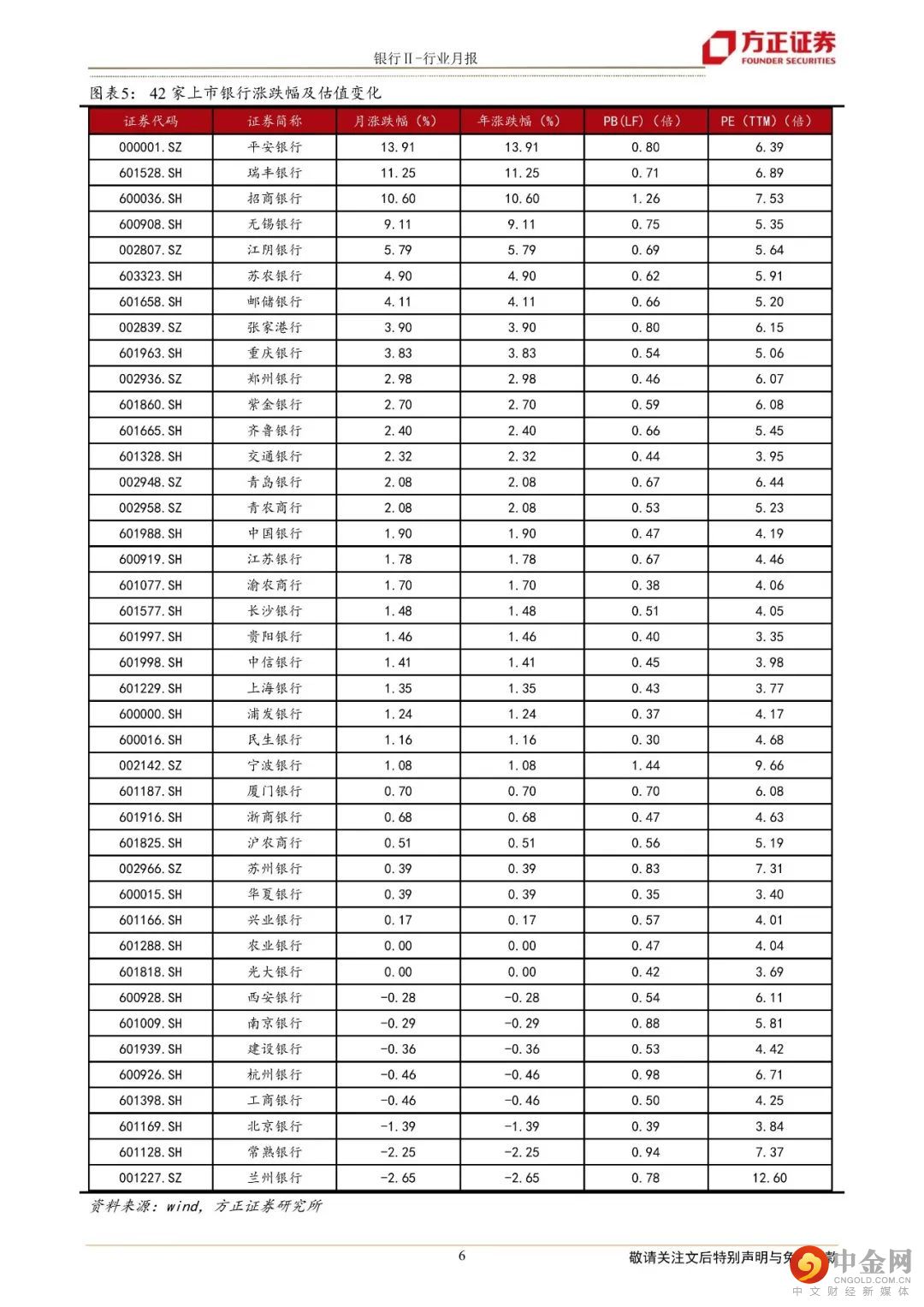
2022年银行业绩表现稳健。截至1月30日,共16家上市银行发布2022年业绩快报,16家银行营业收入、归母净利润均保持稳健增长,拨备覆盖率普遍提高,13家银行的不良贷款率较年初有所下降,资产质量优异,业绩表现稳健。
理财产品破净率迎来转折。2023年1月,银行新发行理财产品环比下降25.46%,截至1月31日,银行理财产品破净率6.44%,环比2022年12月大幅下降,破净率迎来转折,理财产品赎回压力明显减轻。银行理财产品新发数量的明显锐减,主要原因是之前债市调整导致大量产品收益波动甚至亏损,投资者信心尚未恢复,同时银行不再发售春节主题理财产品。
投资建议:2023年随着疫情对经济活动的影响逐步减弱,实体经济的有效信贷需求将逐步恢复。2022年中央经济工作会议明确了2023年“稳字当头,稳中求进”的基调,预计后续稳增长的政策效果会逐步显现。当前银行板块估值处于近十年来的低位,宏观经济预期的好转将进一步促进估值的修复。个股方面,建议把握两条主线,第一条主线是优质区域的城农商行,建议关注宁波银行、常熟银行、成都银行、江苏银行。第二条主线建议关注地产信用风险边际改善的股份行招商银行、平安银行、兴业银行。
风险提示:
货币政策出现超预期收紧;行业政策发生重大转向;宏观经济恢复不及预期。
关联关系披露:2021年4月30日,中国平安发布《关于参与方正集团重整进展的公告》,根据上述公告,方正集团重整完成后,中国平安将控制新方正集团,成为方正证券的实际控制人。根据《上海证券交易所上市规则》《上海证券交易所上市公司关联交易实施指引》规定,平安银行是方正证券的关联方。
正文如下









