核心观点:
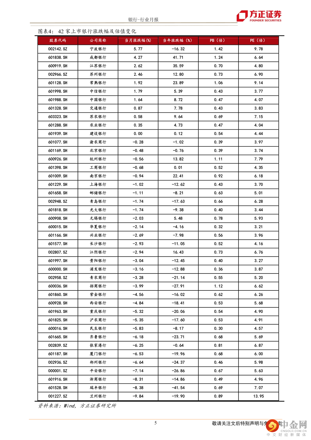
银行指数跑赢沪深300。沪深300指数9月下跌5.8%,银行指数微跌1.35%,本月跌幅减小,边际企稳,表现好于大盘。主要原因是第三季度信贷投放符合预期,资产质量大幅改善,有区域经济优势的中小银行表现良好。
银行股仍处低估值区间。部分城商行受益于区域经济优势,整体PB、PE环比有所上涨,但仍处于低估值区间,截至9月30日,国有行、股份行、城商行、农商行PB分别为0.46、0.48、0.63、0.56倍,PE分别为4.27、4.76、5.75、5.39倍。
贷款利率调降,存贷款余额稳定。为扶持实体经济、降低企业融资成本,1年期LPR下降至3.65%;5年期LPR下降至4.30%;截至2022年8月各项贷款余额为208万亿,同比增加11%,存款余额为252万亿,同比增长11%,增长趋势稳定。
理财新发产品下降,破净率上涨。2022年9月,银行新发行理财产品1824个,环比下降16%,其中6-12月产品占比较大,发行497个,占比27%。截至9月30日,银行理财产品破净率3.96%,小幅上涨,主要受市场情绪低迷影响。
投资建议:9月银行开始下调存款利率,净息差有望边际企稳,利息收入增速或将回升,同时,随着疫情恢复、政策进入实质落地阶段,首套房公积金贷款利率下调等利好房市政策出台,房地产风险有望逐步出清,银行资产质量或将持续稳中向好。目前银行估值处于历史低位,悲观预期已充分释放,预计随着宏观经济回暖、房地产风险出清,银行估值或将迎来修复,优质的区域性银行业绩增速有望持续领跑,建议关注宁波银行、杭州银行、江苏银行、成都银行、常熟银行。
风险提示:疫情反复导致经济持续下行;资产质量大幅恶化;政策出现重大转向。
正文如下






